ZJ'miz Düzgün Çalışmıyor.. Acaba Neden?

  • Konuyu Başlatan: Konuyu başlatan mjeliada Tarih:
  • Başlangıç tarihi Yazılan Cevaplar:
  • Cevaplar 28
  • Okunma Sayısı: Görüntüleme 10,965

Etiketler
Ynt: ZJ'miz Düzgün Çalışmıyor.. Acaba Neden?

Oksijen sensörünün doğru çalışıp çalışmadığına bakmak için avometreden voltaj ölçüm ayarına getirilip sürekli değişen bir dalgalanma varmı diye bakılır. Dirence bakılmaz, direnç ile ancak ısıtma devresinin ,beyaz renkli kabloların, yani rezistansın değeri görülür. O direnç bozuk olsa bile senör egzos gazı nedeniyle ısındıkça doğru şekilde çalışmaya devam edebilir.

gaz kelebeğini ve rölanti ayarlayıcısını temizleyecekseniz balata spreyi kesinlikle kullanamayın oksijen sensörünüzü bozabilirsiniz. ben nissanda yaptım ve yeni sensör almak zorunda kaldım zamanında. bunun yerine yetkili chrysler servisinden alacağınız oksijen sensörüne zara vermeyen combustion chamber cleaner yada benzeri bir idle valve vleaner denen türde sprey kullnın. 15-20 tl civarı satılıyor yetkili serviste. ankara da doğan motorlu araçlarda ben isteyince getirmişlerdei ellerinde vardır hala.
 

Ynt: ZJ'miz Düzgün Çalışmıyor.. Acaba Neden?

KLL' Alıntı:
Oksijen sensörünün doğru çalışıp çalışmadığına bakmak için avometreden voltaj ölçüm ayarına getirilip sürekli değişen bir dalgalanma varmı diye bakılır. Dirence bakılmaz, direnç ile ancak ısıtma devresinin ,beyaz renkli kabloların, yani rezistansın deri görülür. O direnç bozuk olsa bile senör egzos gazı nedeniyle ısındıkça doğru şekilde çalışmaya devam edebilir.

gaz kelebeğini ve rölanti ayarlayıcısını temizleyecekseniz balata spreyi kesinlikle kullanamayın oksijen sensörünüzü bozabilirsiniz. ben nissanda yaptım ve yeni sensör almak zorunda kaldım zamanında. bunun yerine yetkili chrysler servisinden alacağınız oksijen sensörüne zara vermeyen combustion chamber cleaner yada benzeri bir idle valve vleaner denen türde sprey kullnın. 15-20 tl civarı satılıyor yetkili serviste. ankara da doğan motorlu araçlarda ben isteyince getirmişlerdei ellerinde vardır hala.

merak etmeyin o şekilde oldu zaten :smiley: avometrenin hangi değerde gösterdiğini hatırlayamadım o yüzden 3 ünüde yazdım. değişken dirençli sensörlerde var diye
 

Ynt: ZJ'miz Düzgün Çalışmıyor.. Acaba Neden?

mjeliada' Alıntı:
o zaman usta beni yedi..

yok terim farklılıkları var...
o size verdiği rakamların çok daha fazlası çıkar doğan şahinde bile 11-12 li rakamlar, araçlarda 12 li sıkıştırma oranına sahip piston çok uç bir orandır, yarış motorlarında falan 13 lü rakamlara çıkarız onların da ömrü 30 binler bitiyor nerdeyse...
 

Ynt: ZJ'miz Düzgün Çalışmıyor.. Acaba Neden?

997799' Alıntı:
yok terim farklılıkları var...
o size verdiği rakamların çok daha fazlası çıkar doğan şahinde bile 11-12 li rakamlar, araçlarda 12 li sıkıştırma oranına sahip piston çok uç bir orandır, yarış motorlarında falan 13 lü rakamlara çıkarız onların da ömrü 30 binler bitiyor nerdeyse...

o zaman yanlış anlaşılma oldu :smiley: ben sadece silindirlerin çok sağlıklı olduğunu ve muhtemelen bir çoğumuzda böyle olduğunu anlatmak istemiştim
 



Ynt: ZJ'miz Düzgün Çalışmıyor.. Acaba Neden?

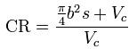
Sıkıştırma oranı formülü aşağıda...

;D ;D Bizim ustalar bu dört işlemi kolaylıkla yapabilir ;D ;D

[attachment=1]

b = silindir çapı
s = piston strok mesafesi
Vc = Yanma odası hacmi)

ps: Formulu vikiden arakladım ;D

Yeni Bit E?lem Resmi (13).jpg
 

Ynt: ZJ'miz Düzgün Çalışmıyor.. Acaba Neden?

Alfonse' Alıntı:
Sıkıştırma oranı formülü aşağıda...

;D ;D Bizim ustalar bu dört işlemi kolaylıkla yapabilir ;D ;D

[attachment=1]

b = silindir çapı
s = piston strok mesafesi
Vc = Yanma odası hacmi)

ps: Formulu vikiden arakladım ;D

ben yarın sanayiye dayak yemeye gidiyorum... ;D ;D ;D ;D
formülü söyleyince olacak olan o...valla vebali boynuna...
birader ben adamlara şanzuman yağına N de bakılır ı anlatamıyom ;D ;D ;D ;D ;D dextron falan dedim 3 beş yerde, arkamdan artiZ okumuş biyerlerde diye konuşuyorlar...otomatik şanzumanın, defransiyelin yağımı değişir ;D ;D ;D ;D ;D
 

Ynt: ZJ'miz Düzgün Çalışmıyor.. Acaba Neden?

Sıkıştırma oranı:

A motoru 8 silindir ve 6 litre olsun, 1 adet silindirinin hacmi 0.75 litredir (yani piston alt ölü noktası ile üst kapak arasında kalan boşluğun hacmi)

A motorunun sıkıştırma oranı 9 a 1 olsun....

Piston alt ölü noktası ile üst ölü noktası arasındaki mesafeyi 10 eşit parçaya bölelim...

Piston, üst ölü noktaya geldiğinde bu mesafenin 9 adedini katetsin, yukardaki 1 parça yanma odası olarak kalsın...

Yani piston üstündeki 0.75 lire olan hacim piston tarafından sıkıştırılarak 0.075 litreye iner...
__________________________________________________________________

B motoru gene 8 silindir ve gene 6 litre olsun, 1 adet silindirinin hacmi gene 0.75 litre (yani piston alt ölü noktası ile üst kapak arasında kalan boşluğun hacmi)

Ama B motorunun sıkıştırma oranı, A motorundan farklı olarak 11 e 1 olsun....

Piston alt ölü noktası ile üst ölü noktası arasındaki mesafeyi bu sefer 12 eşit parçaya bölüyoruz...

Piston, üst ölü noktaya geldiğinde bu mesafenin 11 adedini kateder, yukardaki 1 parça yanma odası olarak kalır...

Yani piston üstündeki 0.75 lire olan hacim piston tarafından sıkıştırılarak yalaşık 0.063 litreye iner...

___________________________________________________________________

B motoruna giren hava yakıt karışımı A motoruna girenden daha fazla sıkıştırıldığı için patlama daha kuvvetli olur...

Yani, B motorunun silindiri daha kuvvettli patlar diyebiliriz kabaca...
___________________________________________________________________

Sıkıştırma oranı,
Piston üst ölü noktaya geldiğinde, piston tepesi ve kapak altında kalan alanın toplam hacme oranıdır...
___________________________________________________________________

Sıkıştırma oranına Kompresyon oranıda diyebiliriz...
___________________________________________________________________

Kompresyon basıncıda; piston üst ölü noktaya geldiğinde, yani tam sıkıştırma yaptığında,
eksoz ve emme süpapları kapalı iken,
Yani tam patlama anı öncesinde
içerideki basıncın, silidir/kapak/piston iç duvarlarında inch2 ye yaptığı basınç değeridir ( 123 psi mesala)

___________________________________________________________________

Dolayısı ile sıkıştırma oranı ile sıkıştırma anındaki basınç -birbiriyle tabiki bağıntılı- ama tamamiyle farklı şeylerdir...

___________________________________________________________________

Bi motorun kompresyon basıncı eskidikçe düşebilir (segmanlar/piston dış duvarları/silindir iç duvarları veya tam kapanamayan siboplar içerde basınçlı karışımı tutamaz, kaçırır)

Ama,

Bi motorun kompresyon oranı üretildiği gibi kalır. Silindir hacmi, piston yüksekliği, biyel kolu yüksekliği, krank kol yükseklikleri hiç değişmez...

____________________________________________________________________

Kompresyon saatiyle yapılan ölçümlerde, çıkan değerin yüksek olması kadar, bütün pistonlardaki oranların çok yakın olmasıda aynı ölçüde verim için önemlidir...

_______________________________________________________________________

Bizim 8 patlar makinalarda, sorun olmadığı düşündüğümüz motorlarda yaptığımız tüm ölçümlerde, bu zamana kadar bütün silindirlerde hep 150 gibi değerler gördük...

Alt değer ne olmalı?
 

Ynt: ZJ'miz Düzgün Çalışmıyor.. Acaba Neden?

997799' Alıntı:
ben yarın sanayiye dayak yemeye gidiyorum... ;D ;D ;D ;D
formülü söyleyince olacak olan o...valla vebali boynuna...
birader ben adamlara şanzuman yağına N de bakılır ı anlatamıyom ;D ;D ;D ;D ;D dextron falan dedim 3 beş yerde, arkamdan artiZ okumuş biyerlerde diye konuşuyorlar...otomatik şanzumanın, defransiyelin yağımı değişir ;D ;D ;D ;D ;D

Al benden de o kadar... ;D

Hala fren hidroliği periyodik olarak değişmez diyenler var, ulen :smiley: bırak servis/tamir kılavuzlarını kullanma kılavuzunda bile yazıyor ;D
 

Ynt: ZJ'miz Düzgün Çalışmıyor.. Acaba Neden?

997799' Alıntı:
ben yarın sanayiye dayak yemeye gidiyorum... ;D ;D ;D ;D
formülü söyleyince olacak olan o...valla vebali boynuna...
birader ben adamlara şanzuman yağına N de bakılır ı anlatamıyom ;D ;D ;D ;D ;D dextron falan dedim 3 beş yerde, arkamdan artiZ okumuş biyerlerde diye konuşuyorlar...otomatik şanzumanın, defransiyelin yağımı değişir ;D ;D ;D ;D ;D

Onu bende anlamadım, otomatik şanzımanın yağı boşda mı kontrol ediliyor ?
 



Ynt: ZJ'miz Düzgün Çalışmıyor.. Acaba Neden?

moonwalker_arc' Alıntı:
Onu bende anlamadım, otomatik şanzımanın yağı boşda mı kontrol ediliyor ?

aracına göre değişebiliyor...zj-wj lerde öyle...yağ çubuğunda yazar muhtemelen...
 

Ynt: ZJ'miz Düzgün Çalışmıyor.. Acaba Neden?

Zj ler konusunda bir bilgim yok ancak genellikle araç sırasıyla tüm viteslere sokulur ve sonra parka alınarak kontrol edilir.En azından bizim araçlarda öyle.Bazı ustalar geri vitesteyken bakma taraftarı, ancak geri vitesteyken yağ az gözüküyor.Bu geri vites efsanesi nerden yayılmış onu da bilmiyorum :smiley:
 

Ynt: ZJ'miz Düzgün Çalışmıyor.. Acaba Neden?

Her makinanın, markanın, şanzmanın farklı...

Zj Ler için, şanzman yağının ısındığından emin olduktan sonra ileri geri park v.s. bütün kademelerde dodura doldura bekliyorsunuz, çalışır vaziyette N de kontrol ediyorsunuz....

Bi kısım bmw nin P' tır... mesala...
 

Gezenbilir bilgi kaynağını daha iyi bir dizin haline getirebilmek için birkaç rica;
- Arandığında bilgiye kolay ulaşabilmek için farklı bir çok konuyu tek bir başlık altında tartışmak yerine veya konu başlığıyla alakalı olmayan sorularınızla ilgili yeni konu başlıkları açınız.
- Yeni bir konu açarken başlığın konu içeriğiyle ilgili açık ve net bilgi vermesine dikkat ediniz. "Acil Yardım", "Lütfen Bakar mısınız" gibi konu içeriğiyle ilgili bilgi vermeyen başlıklar geç cevap almanıza neden olacağı gibi bilgiye ulaşmayı da zorlaştıracaktır.
- Sorularınızı ve cevaplarınızı, kısaca bildiklerinizi özel mesajla değil tüm forumla paylaşınız. Bildiklerinizi özel mesajla paylaşmak forum genelinde paylaşımda bulunan diğer üyelere haksızlık olduğu gibi forum kültürünün kolektif yapısına da aykırıdır.
- Sadece video veya blog bağlantısı verilerek açılan konuların can sıkıcı olduğunu ve üyeler tarafından hoş karşılanmadığını belirtelim. Lütfen paylaştığınız video veya blogun bağlantısının altına kısa da olsa konu başlığıyla alakalı bilgiler veriniz.

Hep birlikte keyifli forumlar dileriz.


GEZENBİLİR TV

Abone Olun

GEZENBİLİR'İ TAKİP EDİN

Forum istatistikleri

Konular
105,056
Mesajlar
1,532,295
Kayıtlı Üye Sayımız
166,957
Kaydolan Son Üyemiz
iom44r

Çevrimiçi üyeler



Geri
Üst